Demo Gallery¶
Interactive demonstrations of AlienBio's core capabilities. Each demo is available in three formats:
- Notebook — rendered inline below (also downloadable as
.ipynb) - Script — standalone Python script (
.py) - Output — pre-generated figures (
.png)
Core Demos¶
01: Quick Start¶
A 3-molecule homeostatic system (zynol↔brevix↔corthan) converging to equilibrium.

:material-notebook: Notebook · :material-language-python: Script
02: Equilibrium & Stability¶
Run to equilibrium and analyze stability using variance over a trailing window.

:material-notebook: Notebook · :material-language-python: Script
03: Perturbation & Recovery¶
Spike recovery and reaction-removal drift experiments.

:material-notebook: Notebook · :material-language-python: Script
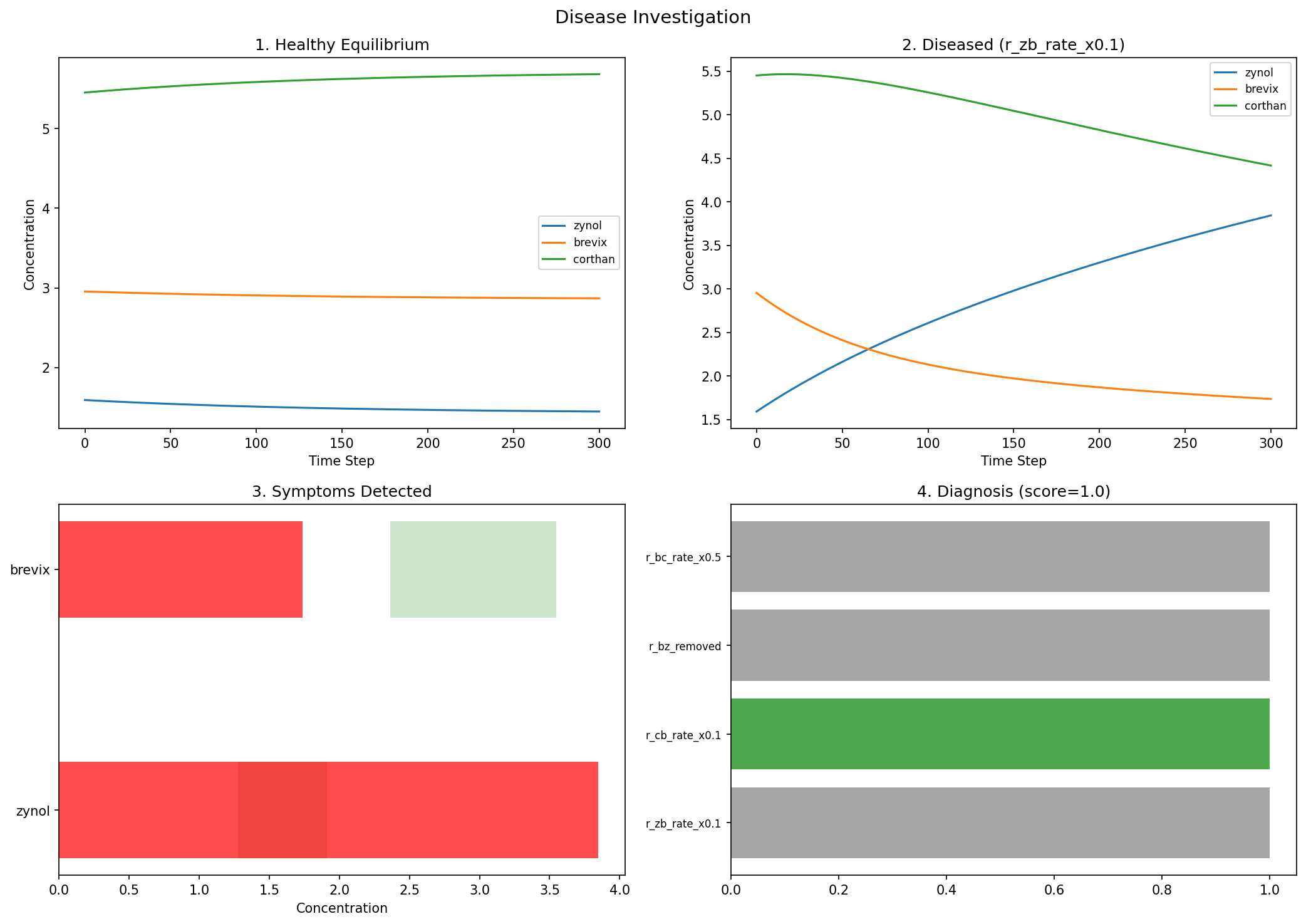
04: Disease Investigation¶
Apply a perturbation, observe the diseased system, and detect symptoms.

:material-notebook: Notebook · :material-language-python: Script
05: Multi-Compartment Organism¶
Generate a 3-organ organism and visualize molecule transport across compartments.

:material-notebook: Notebook · :material-language-python: Script
06: Life & Survival¶
Population dynamics and concentration envelopes.

:material-notebook: Notebook · :material-language-python: Script
07: Generating & Skinning¶
Replace real molecule/reaction names with opaque alien terminology at 3 detail levels.
:material-notebook: Notebook · :material-language-python: Script
08: Agent Evaluation¶
Oracle, random, and zero agents evaluated across difficulty levels.

:material-notebook: Notebook · :material-language-python: Script
Combo Demos¶
Disease Investigation (4-Panel)¶
End-to-end: healthy equilibrium → disease → symptoms → diagnosis.

:material-notebook: Notebook · :material-language-python: Script
Alien Exam¶
Agents evaluated on skinned (opaque) diagnosis tasks at multiple difficulty levels.

:material-notebook: Notebook · :material-language-python: Script
Ecosystem¶
Multi-compartment organism heatmap and concentration envelope violations.

:material-notebook: Notebook · :material-language-python: Script